复杂链表的复制
题目:请实现函数 ComplexListNode clone(ComplexListNode head),复制一个复杂链表。在复杂链表中,每个结点除了有一个 next 域指向下一个结点外,还有一个 sibling 指向链表中的任意结点或者 null。
结点结构定义:
public static class ComplexListNode {
int value;
ComplexListNode next;
ComplexListNode sibling;
}
解题思路:
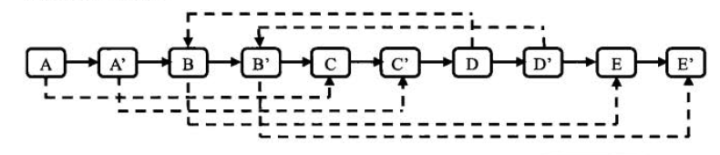
图 4.8 是一个含有 5 个结点的复杂链表。图中实线箭头表示 next 指针,虚线箭头表示 sibling 指针。为简单起见,指向 null 的指针没有画出。

在不用辅助空间的情况下实现 O(n)的时间效率。
第一步:仍然是根据原始链表的每个结点N 创建对应的 N’。把 N’链接在N的后面。图 4.8 的链表经过这一步之后的结构,如图 4.9 所示。

第二步:设置复制出来的结点的 sibling。假设原始链表上的 N 的 sibling 指向结点 S,那么其对应复制出来的 N’是 N的 pext 指向的结点,同样 S’也是 S 的 next 指向的结点。设置 sibling 之后的链表如图 4.10 所示。

第三步:把这个长链表拆分成两个链表。把奇数位置的结点用 next 链接起来就是原始链表,把偶数位置的结点用 next 链接起来就是复制 出来的链表。图 4.10 中的链表拆分之后的两个链表如图 4.11 所示。

代码实现:
public class Test26 {
/**
* 复杂链表结点
*/
public static class ComplexListNode {
int value;
ComplexListNode next;
ComplexListNode sibling;
}
/**
* 实现函复制一个复杂链表。在复杂链表中,每个结点除了有一个next字段指向下一个结点外,
* 还有一个sibling字段指向链表中的任意结点或者NULL
*
* @param head 链表表头结点
* @return 复制结点的头结点
*/
public static ComplexListNode clone(ComplexListNode head) {
// 如果链表为空就直接返回空
if (head == null) {
return null;
}
// 先复制结点
cloneNodes(head);
// 再链接sibling字段
connectNodes(head);
// 将整个链表拆分,返回复制链表的头结点
return reconnectNodes(head);
}
/**
* 复制一个链表,并且将复制后的结点插入到被复制的结点后面,只链接复制结点的next字段
*
* @param head 待复制链表的头结点
*/
public static void cloneNodes(ComplexListNode head) {
// 如果链表不空,进行复制操作
while (head != null) {
// 创建一个新的结点
ComplexListNode tmp = new ComplexListNode();
// 将被复制结点的值传给复制结点
// tmp.value = head.value;
///////////////////////////////////////////////////////////////////////////////////////////
// TODO 此处为了做测试,让复制结点的值都增加了100,如果不需要可以将下面一个行注释掉,打开上一行。
tmp.value = head.value + 100;
///////////////////////////////////////////////////////////////////////////////////////////
// 复制结点的next指向下一个要被复制的结点
tmp.next = head.next;
// 被复制结点的next指向复制结点
head.next = tmp;
// 到些处就已经完成了一个结点的复制并且插入到被复制结点的后面
// heed指向下一个被复制结点的位置
head = tmp.next;
}
}
/**
* 设置复制结点的sibling字段
*
* @param head 链表的头结
*/
public static void connectNodes(ComplexListNode head) {
// 如链表不为空
while (head != null) {
// 当前处理的结点sibling字段不为空,则要设置其复制结点的sibling字段
if (head.sibling != null) {
// 复制结点的sibling指向被复制结点的sibling字段的下一个结点
// head.next:表求复制结点,
// head.sibling:表示被复制结点的sibling所指向的结点,
// 它的下一个结点就是它的复制结点
head.next.sibling = head.sibling.next;
}
// 指向下一个要处理的复制结点
head = head.next.next;
}
}
/**
* 刚复制结点和被复制结点拆开,还原被复制的链表,同时生成监制链表
*
* @param head 链表的头结点
* @return 复制链表的头结点
*/
public static ComplexListNode reconnectNodes(ComplexListNode head) {
// 当链表为空就直接返回空
if (head == null) {
return null;
}
// 用于记录复制链表的头结点
ComplexListNode newHead = head.next;
// 用于记录当前处理的复制结点
ComplexListNode pointer = newHead;
// 被复制结点的next指向下一个被复制结点
head.next = newHead.next;
// 指向新的被复制结点
head = head.next;
while (head != null) {
// pointer指向复制结点
pointer.next = head.next;
pointer = pointer.next;
// head的下一个指向复制结点的下一个结点,即原来链表的结点
head.next = pointer.next;
// head指向下一个原来链表上的结点
head = pointer.next;
}
// 返回复制链表的头结点
return newHead;
}
/**
* 输出链表信息
*
* @param head 链表头结点
*/
public static void printList(ComplexListNode head) {
while (head != null) {
System.out.print(head.value + "->");
head = head.next;
}
System.out.println("null");
}
/**
* 判断两个链表是否是同一个链表,不是值相同
*
* @param h1 链表头1
* @param h2 链表头2
* @return true:两个链表是同一个链表,false:不是
*/
public static boolean isSame(ComplexListNode h1, ComplexListNode h2) {
while (h1 != null && h2 != null) {
if (h1 == h2) {
h1 = h1.next;
h2 = h2.next;
} else {
return false;
}
}
return h1 == null && h2 == null;
}
public static void main(String[] args) {
// -----------------
// \|/ |
// 1-------2-------3-------4-------5
// | | /|\ /|\
// --------+-------- |
// -------------------------
ComplexListNode head = new ComplexListNode();
head.value = 1;
head.next = new ComplexListNode();
head.next.value = 2;
head.next.next = new ComplexListNode();
head.next.next.value = 3;
head.next.next.next = new ComplexListNode();
head.next.next.next.value = 4;
head.next.next.next.next = new ComplexListNode();
head.next.next.next.next.value = 5;
head.sibling = head.next.next;
head.next.sibling = head.next.next.next.next.next;
head.next.next.next.sibling = head.next;
ComplexListNode tmp = head;
printList(head);
ComplexListNode newHead = clone(head);
printList(head);
System.out.println(isSame(head, tmp));
printList(newHead);
System.out.println(isSame(head, newHead));
// 有指向自身的情况
// -----------------
// \|/ |
// 1-------2-------3-------4-------5
// | | /|\ /|\
// | | -- |
// |------------------------|
ComplexListNode head2 = new ComplexListNode();
head2.value = 1;
head2.next = new ComplexListNode();
head2.next.value = 2;
head2.next.next = new ComplexListNode();
head2.next.next.value = 3;
head2.next.next.next = new ComplexListNode();
head2.next.next.next.value = 4;
head2.next.next.next.next = new ComplexListNode();
head2.next.next.next.next.value = 5;
head2.next.sibling = head2.next.next.next.next;
head2.next.next.next.sibling = head2.next.sibling;
head2.next.next.sibling = head2.next.next;
System.out.println("\n");
tmp = head2;
printList(head2);
ComplexListNode newHead2 = clone(head2);
printList(head2);
System.out.println(isSame(head2, tmp));
printList(newHead2);
System.out.println(isSame(head2, newHead2));
ComplexListNode head3 = new ComplexListNode();
head3.value = 1;
System.out.println("\n");
tmp = head3;
printList(head3);
ComplexListNode newHead3 = clone(head3);
printList(head3);
System.out.println(isSame(head3, tmp));
printList(newHead3);
System.out.println(isSame(head3, newHead3));
System.out.println("\n");
ComplexListNode head4 = clone(null);
printList(head4);
}
}
运行结果:
注意:划红线部分是为了区分原链表和复制链表,具体还原见代码注释。

上一篇: 二叉树中和为某一...
下一篇: 二叉搜索树与双向...